近日,通信工程学院ISN国家重点实验室王勇超教授团队在信息论顶级学术期刊《IEEE Transactions on Information Theory》上发表了题为“Decoding Nonbinary LDPC Codes via Proximal-ADMM Approach”的学术论文(DOI:10.1109/TIT.2022.3147906)。论文第一作者为王勇超教授,团队博士生白晶(毕业后就职于石家庄铁道大学)和王勇超教授为论文共同通讯作者。

低密度奇偶校验(Low-Density Parity-Check,LDPC)码是一种能够逼近香农极限的纠错码,在包括5G在内的现代无线通信系统中得到广泛应用。与二元LDPC码相比,多元LDPC码在中短码长区域具有更优异的纠错性能和更强的抗突发错误能力,且容易与高阶调制相结合获得更高的传输速率和频谱效率。
目前主流的多元LDPC译码算法基于置信传播(Belief Propagation,BP)策略,通过迭代方式计算近似边界概率的方式构建译码算法。然而在实际应用中,BP译码算法迭代过程理论上无法保证收敛,且往往存在误码平台高的缺点。针对上述难题,王勇超教授团队基于临近算子和交替方向乘子(Proximal-ADMM)方法,在国际上首次提出了具有收敛保证且译码性能优良的多元LDPC译码方法。

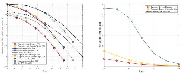
Tanner (1055, 424 )译码性能和译码时间比较(QPSK调制)
具体而言,团队采用校验节点度分解方法将伽罗华域GF(2q)上的一般多元校验方程转换为有限域GF(2)上三元校验方程方程组,进而将有限域上的校验方程等效为欧氏空间中的二元线性约束。通过应用线性松弛、增加冗余约束以及在目标函数增加非凸二次惩罚项等技术,构造了新的多元LDPC码准最大似然译码模型。在此基础上,通过利用译码模型中的内在结构,设计了可并行工作的Proximal-ADMM译码算法。理论分析指出:Proximal-ADMM译码算法在每次迭代中的计算复杂度与LDPC码的码长呈线性关系,不需要低效率的奇偶多面体投影操作,且迭代算法具有收敛保证。仿真结果表明:该译码算法不仅能够获得比当前主流多元BP译码算法更好的纠错性能,而且与现有的数学规划译码算法相比具有更高的译码效率。
文章链接:
https://ieeexplore.ieee.org/document/9698061
教师简介:
王勇超,教授,博士生导师,西安电子科技大学华山学者特聘教授,ISN国家重点实验室有组织科研自由探索成员,IEEE/中国电子学会/中国通信学会高级会员。2008年9月至2009年12月美国明尼苏达大学博士后/访问学者,2016年3月至2017年3月美国普渡大学访问学者。主要研究方向为信号处理、数学优化方法在无线通信中的应用及相关技术的工程实现。主持包括国家自然科学基金在内的科研课题二十余项(近两年合同金额逾1000万元),在IEEE通信信号处理主流学术期刊发表学术论文二十余篇(其中含9篇TSP),申请发明专利30余项,授权24项。