网站首页 > 资讯频道 > 正文阅读

转发收藏!安康市家庭医生团队及联系方式都在这里

2022-12-22 19:00  安康日报

我们来啦!

安康市家庭医生团队尽锐出战

当好居民健康守门人

面对新冠肺炎疫情防控新阶段、新任务、新挑战,安康市新冠肺炎疫情联防联控指挥部办公室组织全市家庭医生团队尽锐出战,为城乡居民防聚集、防重症、保健康提供综合、连续、科学、协同的新冠病毒预防指导和感染康复服务,竭尽全力控制传播进程、拉平骤增曲线、削减感染峰值,最大程度降低新冠肺炎疫情对全市居民身心健康的影响,当好城乡居民健康守门人。疫情终会散去,春天必将到来!

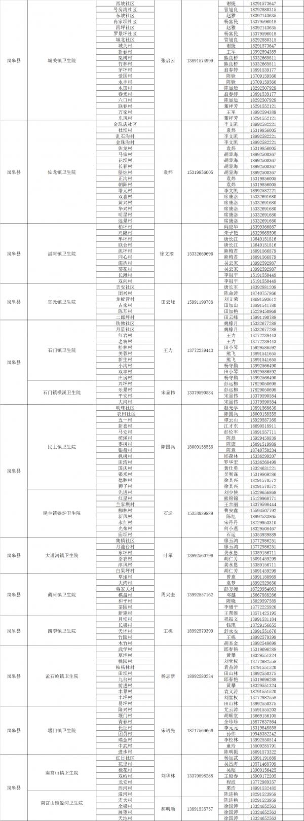
安康市家庭医生团队及联系方式如下:

上一篇:清风扬正气 廉洁铸警魂——记2022年安康市先进工作者许波 下一篇:没有了

相关文章

栏目热点