信息时代的人工智能、物联网等诸多新型应用都依赖于功能半导体器件和集成电路的发展。“后摩尔时代”的到来激发了多功能硅基集成器件的发展,其中,光电探测器是一个重要组成部分。目前主流光电探测器为硅基器件,难以实现宽光谱探测,响应率与探测率不能满足需求。因此,为进一步提高探测率、响应率和探测范围,光电探测器件在材料、结构和制备工艺等方面亟待改进。
新型二维半导体材料具有纳米级超薄结构以及优异的电性能和光电性能,在光电探测领域极具应用潜力。基于新型二维半导体材料的光电探测器在沟道材料革新的同时,也在器件结构与制备工艺等方面需要针对性优化。一般采用顶栅或背栅场效应晶体管作为探测器基本结构,并利用金属电极与沟道半导体材料形成欧姆接触提高光电探测性能,但欧姆接触会导致暗电流与光电流同时增加。因此,进一步降低暗电流对实现高性能光电探测器具有重要意义。
近日,西安交通大学电子科学与工程学院电子陶瓷与器件教育部重点实验室任巍教授和牛刚教授团队利用机械剥离获得少层二硫化钼材料制备具有背栅结构和纳米级沟道长度的光电晶体管,实现了较高探测率(>1013Jones)和响应率(>103A/W)。在光电探测性能研究中,研究团队对405nm、520nm和650nm多波长光电响应均进行实验验证并实现良好的光电探测性能。
研究团队阐明了二硫化钼光电探测器高性能的原因,包括:(1)源/漏电极与二硫化钼之间的肖特基接触能够有效降低器件暗电流,并且在光电响应特性中,通过光子引起肖特基势垒降低进一步提高光照条件下的电流,从而提高光电探测器性能;(2)二硫化钼材料在减小器件尺寸的同时,也具有降低短沟道效应的优势,从而降低器件暗电流;(3)机械剥离法获得的二硫化钼具有良好的电特性,且背栅结构的器件使光敏层(即二硫化钼)与入射光能够实现直接相互作用,从而提高光电性能。

该成果以《肖特基接触的多波长、高探测率二硫化钼光电探测器》(Multiwavelength High-Detectivity MoS2 Photodetectors with Schottky Contacts)为题发表在《美国化学学会纳米》(ACS NANO)上。西安交通大学牛刚教授和任巍教授为该论文的通讯作者,西安交通大学机械学院蒋庄德院士、赵立波教授为论文共同作者。论文的合作单位还包括美国加州大学洛杉矶分校。

二硫化钼光电探测器示意图及二硫化钼材料表征。(图片来源:ACS Nano)

二硫化钼背栅场效应晶体管电特性。(图片来源:ACS Nano)

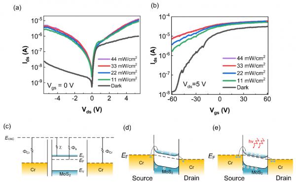
650 nm激光照射下二硫化钼光电探测器的光电特性。(图片来源:ACS Nano)

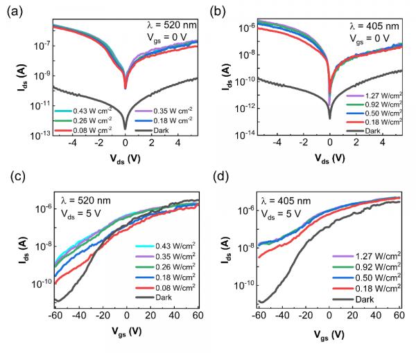
二硫化钼光电探测器在520nm和405nm激光照射下的光电特性。(图片来源:ACS Nano)

二硫化钼光电探测器在不同波长激光照射下的响应率和开关比。(图片来源:ACS Nano)
西安交通大学电信学部电子学院电子陶瓷与器件教育部重点实验室任巍教授、牛刚教授课题组长期从事“后摩尔”功能薄膜与硅的异质集成和非易失性存储器件的研究。近年来在“后摩尔”时代绿色环保的无铅介电、压(铁)电功能薄膜与集成器件方面取得了系列成果,研究论文已经发表于NatureCommun.、ACS Nano、IEEE Electron. Dev. Lett.、ACS Appl. Mater. Interfaces、Sensor Actuat. B和J. Mater. Chem. C等期刊上。
论文链接:https://doi.org/10.1021/acsnano.2c06062
更多信息请查阅牛刚教授个人主页:https://gr.xjtu.edu.cn/web/gangniu