近日,我校物理学院张春梅教授与合作者首次提出在??,??,和????同时破缺的磁性滑移铁电体系中,面外电极化和磁矩方向可以共同调控面内磁性光电流的方向,并且在三种不同的体系中得到理论计算验证。该研究成果以“Tailoring Bulk Photovoltaic Effects in Magnetic Sliding Ferroelectric Materials”为题发表在凝聚态物理期刊Nano Letters上。张春梅教授为第一作者,西安交通大学周健教授为通讯作者。该工作得到了国家自然科学基金青年、面上项目的支持。
体光伏效应是一种二阶非线性光学效应,属于目前凝聚态物理国际前沿热点研究问题之一。最近,有研究发现在磁性体系中,体光伏效应产生额外的磁性项,磁性移位电流(magnetic shift current)和磁性注入电流(magnetic injection current)。在线偏振光照射下,磁性体系中通常会同时存在普通移位电流(normal shift current)和磁性注入电流。因此为了探究磁性体系中体光伏效应的可调控性,人们可以借助于自旋甚至自旋和电极化自由度的共同作用调控体系对称性。
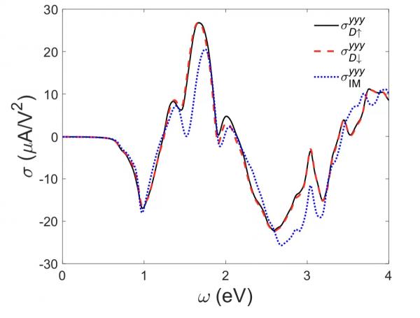
研究团队针对??,??,和????同时破缺的体系展开了系统的理论和计算研究。在一类新型的磁性滑移铁电模型进行对称性群分析,发现磁矩方向可以显著改变体系的对称性,因此可以控制磁性注入电流的选择规则(图1)。另外,团队在研究中首次提出通过?z??对称性关联的两种面外电极化取向可以反转磁性注入电流的方向(图2),然而移位电流不受磁矩方向和电极化方向的影响(图3)。该理论分析也进一步在三种磁性滑移铁电体系中成功复现。
文章链接:https://doi.org/10.1021/acs.nanolett.2c02802

图1:磁矩方向调控磁性注入电流的方向(a), (b)
(c), (d)
图2:面外电极化反转面内磁性注入电流方向。(b-d)量子度规偶极(

图3:移位电流方向不受磁矩和电极化的影响