能源发展作为核心竞争力一直居于国家战略地位,“十四五”规划高度重视再生能源发展,提出能源发展新要求。可再生能源以太阳能为最具发展潜力的方向之一。近年来,有机无机卤化物钙钛矿型太阳能薄膜电池由于其出色的转化效率得到了快速的发展。但卤化物钙钛矿通常含有毒性元素Pb,对生态环境与生命健康危害较大,而且该材料对水分和温度较为敏感。基于此,国内外研究者尝试以无机硫属化物作为替代材料研究其太阳能转化性能,其中钡锆硫化物(

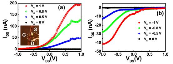
近日,西安交通大学物理学院杨森教授团队与纽约州立大学布法罗分校曾浩教授团队合作,在500 ℃下成功合成了





该研究以“Chalcogenide perovskite

西安交通大学物理学院新型功能材料研究组(NFMG)杨森教授团队现有教授3人,副教授6人,助理教授3人。团队在铁性材料、纳米功能材料、新型能源材料等方向开展了深入研究。近年来,课题组在Phys. Rev. Lett、Nat. Nanotechnol、 JACS、 Adv. Sci等期刊发表学术论文多篇,获得国家自然科学二等奖等多项省部级奖项。
论文链接:https://doi.org/10.1016/j.nanoen.2021.105959